为进一步加强烈士纪念设施保护管理,保障公民、法人和其他组织的合法权益,根据《烈士褒扬条例》和《烈士纪念设施保护管理办法》的规定,我局起草了《淮北市烈士陵园保护范围划定方案(征求意见稿)》(见附件)。依照规范性文件制定相关要求,现面向社会公众广泛征求意见建议,请将书面意见建议发送至邮箱:781027323@qq.com(单位反馈需加盖公章、个人反馈需注明姓名和联系方式)。
征求意见建议时间:2025年9月2日至2025年10月17日止(共30个工作日)。
联系人及联系方式:李明宇 0561-3298027。
淮北市退役军人事务局
2025年9月1日
附件
淮北市烈士陵园保护范围划定方案(征求意见稿)
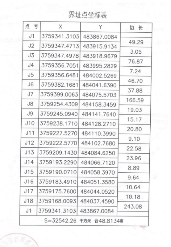
淮北市烈士陵园始建于1995年,陵园内现有对越自卫还击作战烈士墓12座,新四军小朱庄战斗烈士公墓1座。陵园位于人民路北、龙山路西(天一中学南),占地32542.26平方米。已取得不动产权证(皖2023淮北市不动产权第0013659号)。为贯彻落实《中华人民共和国英雄烈士保护法》、《烈士褒扬条例》和《烈士纪念设施保护管理办法》,我局拟定《淮北市烈士陵园保护范围划定方案》,具体如下:
以淮北市烈士陵园土地红线为基准划定保护红线,土地红线以内为淮北市烈士陵园保护范围,总面积为32542.26平方米(具体见附件宗地图)。烈士纪念设施保护范围内土地和设施受法律保护。任何单位和个人不得侵占烈士纪念设施保护范围内的土地和设施,不得以任何方式破坏、污损烈士纪念设施。禁止在烈士纪念设施保护范围内进行其他工程建设。在烈士纪念设施保护范围周边进行工程建设,不得破坏烈士纪念设施的历史风貌,不得影响烈士纪念设施安全或者污染其环境。不得在烈士纪念设施保护范围内为烈士以外的其他人修建纪念设施或者安放骨灰、埋葬遗体。不得在烈士纪念设施保护范围内从事与纪念烈士无关或者有损烈士形象、有损纪念烈士环境和氛围的活动。
附图:宗地图
附图

